Các nhà khoa học trung quốc hé lộ cách isoflavone 6-hydroxylase đóng vai trò trung gian trong khả năng kháng bệnh Phytophthora sojae ở đậu tương.
Các nhà nghiên cứu từ Viện Di truyền và Sinh học Phát triển thuộc Viện Hàn lâm Khoa học Trung Quốc (Chinese Academy of Sciences – CAS) đã khám phá ra con đường sinh tổng hợp glycitein, một isoflavonoid quan trọng trong đậu tương, vốn từ lâu vẫn chưa được làm rõ. Họ cũng tiết lộ cách thức sản xuất chất này quyết định khả năng kháng bệnh Phytophthora sojae của cây.
Những phát hiện của họ đã được công bố trên tạp chí PNAS vào ngày 11 tháng 12.
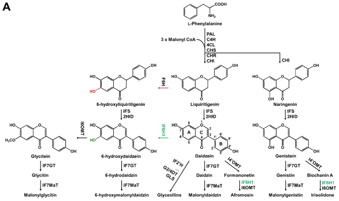
Đậu tương là một trong những cây lương thực và kinh tế quan trọng nhất thế giới, được đánh giá cao nhờ hàm lượng isoflavonoid phong phú. Các hợp chất này thúc đẩy sức khỏe con người và đóng vai trò đa dạng trong phản ứng miễn dịch của thực vật. Mặc dù đã có hàng thập kỷ nghiên cứu, quá trình sinh tổng hợp các isoflavonoid loại glycitein vẫn còn gây tranh cãi, và enzyme xúc tác cho bước phản ứng quan trọng vẫn chưa được xác định. Các nghiên cứu trước đây cho rằng glycitein có thể được tổng hợp thông qua con đường hydroxyl hóa flavanone 6; tuy nhiên, bằng chứng thực nghiệm trực tiếp và sự liên quan sinh lý của nó vẫn còn thiếu. Để giải quyết vấn đề này, các nhà nghiên cứu do WANG Guodong dẫn đầu đã sử dụng phương pháp nghiên cứu liên kết toàn bộ hệ gen dựa trên chuyển hóa chất (mGWAS) trong quần thể đậu tương tự nhiên. Phân tích của họ đã xác định được một gen cytochrome P450, GmIF6H1 (trước đây là GmCYP76F17). Thông qua biểu hiện dị loại trong nấm men, các xét nghiệm enzyme và các thí nghiệm đánh dấu đồng vị bền, các nhà nghiên cứu đã chứng minh lần đầu tiên rằng GmIF6H1 xúc tác đặc hiệu quá trình hydroxyl hóa vòng A ở vị trí 6 của daidzein, tạo ra 6-hydroxydaidzein, sau đó được methyl hóa để tạo thành glycitein. Phát hiện này đã lật đổ mô hình sinh tổng hợp tập trung vào flavanone đã tồn tại từ lâu và thiết lập một con đường sinh tổng hợp glycitein mới với daidzein là tiền chất trung tâm.
Các nhà nghiên cứu cũng phát hiện ra rằng sự thay thế threonine thành alanine ở vị trí axit amin 248 (T248A) trong GmIF6H1 ảnh hưởng đáng kể đến hoạt động của enzyme. Điều thú vị là, chất cặn này đã trải qua quá trình chọn lọc trong quá trình thuần hóa đậu tương, dẫn đến sự tích lũy glycitein giảm ở các giống đậu tương được trồng trọt.
Các nghiên cứu về cơ chế cho thấy rằng các isoflavonoid loại glycitein và glyceollin – trong đó glyceollin được tổng hợp thông qua quá trình hydroxyl hóa 2′ của daidzein – hoạt động hiệp đồng để bảo vệ đậu tương chống lại sự nhiễm bệnh của P. sojae. Trong điều kiện sinh trưởng bình thường, glycitein tích lũy trước như một chất kháng bệnh thực vật, cung cấp một lớp phòng vệ hóa học được hình thành sẵn. Khi mầm bệnh xâm nhập, glyceollin được tạo ra nhanh chóng như các phytoalexin.
Điều đáng chú ý là, cả việc loại bỏ và biểu hiện quá mức GmIF6H1 đều làm cho cây đậu tương dễ bị nhiễm P. sojae hơn: Các đột biến loại bỏ biểu hiện khả năng phòng vệ bị suy giảm do thiếu glycitein, trong khi các dòng biểu hiện quá mức làm gián đoạn sự phân bố dòng chuyển hóa, dẫn đến sản xuất glyceollin bị suy giảm. Những phát hiện này cho thấy một sự cân bằng chuyển hóa được điều chỉnh tinh tế giữa các nhánh isoflavonoid giúp tối ưu hóa khả năng kháng bệnh ở đậu tương.
Nghiên cứu này làm sáng tỏ nguồn gốc sinh tổng hợp của glycitein và vai trò chức năng của nó trong miễn dịch thực vật, đồng thời xác định GmIF6H1 là mục tiêu phân tử đầy hứa hẹn cho việc lai tạo giống đậu tương kháng bệnh. Việc điều chỉnh chính xác biểu hiện của GmIF6H1 có thể cho phép phát triển các giống đậu tương với thành phần isoflavonoid tối ưu và khả năng kháng bệnh được tăng cường, từ đó cải thiện tính bền vững của cây trồng.
Dựa trên những phát hiện này, các nhà nghiên cứu đặt mục tiêu tích hợp các chiến lược sinh học tổng hợp để thiết kế các giống "đậu tương thông minh" kết hợp lợi ích sức khỏe được cải thiện với khả năng chịu stress được nâng cao.
Công trình này được hỗ trợ bởi Dự án Khoa học và Công nghệ Trọng điểm Quốc gia về Chọn giống Sinh học, Chương trình Nghiên cứu và Phát triển Trọng điểm Quốc gia của Trung Quốc và Chương trình Nghiên cứu Ưu tiên Chiến lược của Viện Hàn lâm Khoa học Trung Quốc (CAS).


Phân tích cơ chế hoạt động của GmIF6H1, một thành phần mới được xác định trongcon đường sinh tổng hợp isoflavone của đậu tương, trong việc điều chỉnh khả năng kháng bệnh do Phytophthora sojae gây ra.
Võ Như Cầm theo Viện Hàn lâm Khoa học Trung Quốc.
Số lần xem: 256












